• 1.摘要
  • 2.基本信息
  • 3.定义及公式
  • 4.例子
  • 5.准完全平方式
  • 5.1.导言
  • 5.2.定义
  • 6.参考资料

完全平方式

数学公式

完全平方式是指如果满足对于一个具有若干个简单变元的整式A,如果存在另一个实系数整式B,使A=B^2的条件话,则称A是完全平方式,亦可表示为(a+b)²=a²+2ab+b²、(a-b)²=a²-2ab+b²。该公式是进行代数运算与变形的重要的知识基础,是因式分解中常用到的公式。

1/2

基本信息

  • 中文名

    完全平方式

  • 外文名

    Perfect square trinomial

  • 公式1

    a²+2ab+b²=(a+b)²

  • 公式2

    a²-2ab+b²=(a-b)²

  • 相关术语
  • 别名

    完全平方公式

定义及公式

完全平方公式1

(1)两数和的平方,等于它们的平方和加上它们的积的2倍,即

完全平方式

(2)两数差的平方,等于它们的平方和减去它们的积的2倍,即

(a-b)²=a²+b²-2ab

熟记口诀:首平方,尾平方,前后两倍放中央,符号看前方。

这两个公式的结构特征:1)左边是两个相同的二项式相乘,右边是三项式,是左边二项式中两项的平方和,加上或减去这两项乘积的2倍;2)左边两项符号相同时,右边各项全用“+”号连接;左边两项符号相反时,右边平方项用“+”号连接后再“-”两项乘积的2倍(注:这里说项时未包括其符号在内);3)公式中的字母可以表示具体的数(正数或负数),也可以表示单项式或多项式等数学式。

例子

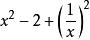
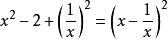
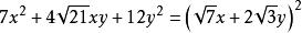
(1)image是一个完全平方式,因为image

(2)image是一个完全平方式,因为image

(3)因为image,所以image是一个完全平方式。

可以推出,

完全平方式

注意

(1)以上多项式,指的都是实系数多项式。所以不能称image为完全平方式,因为不存在以imageimage为变元的实系数多项式image,使image

(2)以上所说多项式,都是简单变元的多项式,不能随便称一个代数式或三角函数式为完全平方式。例如

①尽管有image,但是因为这里imageimage都不是多项式,所以代数式image不能被称为完全平方式。

②尽管有image,但是image也不能被称为完全平方式。